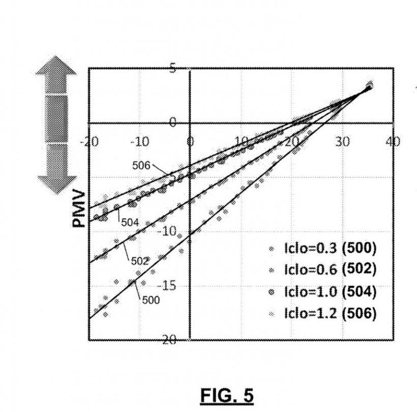
据外媒报道,通用汽车(GM)向美国专利商标局(USPTO)提交了一项新的专利申请。这项专利是一个气候控制系统,它可以检测乘客的衣服,并相应地调节车内的温度。

该专利中描述的气候控制系统包括存储系统、补偿模块和气候控制模块,其中存储系统存储由车载传感器捕获的一系列图像。随后,补偿模块将评估捕获的图像,以估计第一乘客的“衣服状况”。此外,该模块还可以从边缘计算设备或基于云的网络接收服装状态。然后,系统可以根据这些数据确定最佳车厢温度设定点,并适当地调整车辆气候控制参数和区域。
1据外媒报道,通用汽车(GM)向美国专利商标局(USPTO)提交了一项新的专利申请。这项专利是一个气候控制系统,它可以检测乘客的衣服,并相应地调节车内的温度。

该专利中描述的气候控制系统包括存储系统、补偿模块和气候控制模块,其中存储系统存储由车载传感器捕获的一系列图像。随后,补偿模块将评估捕获的图像,以估计第一乘客的“衣服状况”。此外,该模块还可以从边缘计算设备或基于云的网络接收服装状态。然后,系统可以根据这些数据确定最佳车厢温度设定点,并适当地调整车辆气候控制参数和区域。

标签:
在新能源汽车发展如火如荼的今天,越来越多的车企成为技术驱动型的核心企业,自主品牌的产品力和品牌力也得到消费者认可。广汽埃安是国内较早涉足三电系统自主开发的企业。
1900/1/1 0:00:00盖世汽车讯据外媒报道,汽车零部件巨头大陆集团将寻求与亚太地区的初创企业结盟,以迅速开发和采用下一代汽车创新技术。
1900/1/1 0:00:00如果保时捷在今年第四季度成功上市,那么估值高达950亿美元的交易将有望成为德国有史以来规模最大,也是汽车史上最高价的一次IPO。如果成功,保时捷的品牌估值甚至可能超过其母公司大众目前的市值。
1900/1/1 0:00:00盖世汽车讯据外媒报道,在德国供应商埃贝赫(Eberspaecher)集团遭到大规模网络攻击近9个月后,该公司终于消除了其全球80个站点受到的影响,并提升了IT系统的安全等级。
1900/1/1 0:00:00分享上汽奥迪Q6于今日正式首发,并开启预订,预定价格为50万元65万元,共推出四款车型。其定位为“旗舰Roadjet陆地专机”。
1900/1/1 0:00:00长城汽车7月24日公告,董事会收到公司总经理王凤英的书面辞职报告,王凤英因工作调整申请辞去公司总经理职务,王凤英将继续在公司从事战略管理相关工作。
1900/1/1 0:00:00