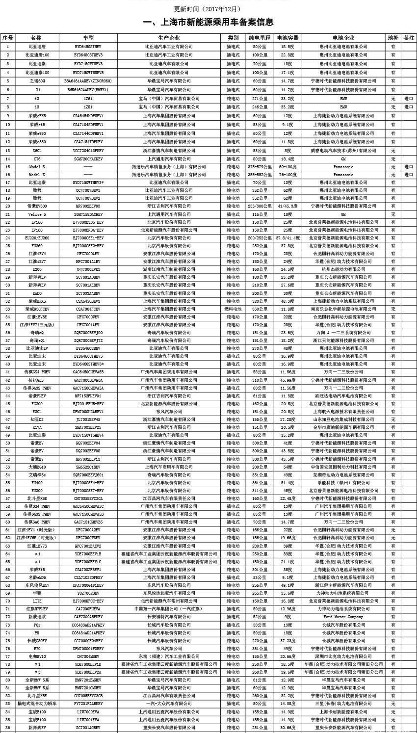
12月25日,《上海市新能源汽车备案信息表(2017年12月)》发布。12月,新增23辆新能源乘用车和25辆新能源商用车。更新后的备案信息包括88辆新能源乘用车和57辆新能源商用车。新能源乘用车,包括荣威Ei5、东风骏风E17、华汽、北汽莱特、红旗H7PHEV、新蒙迪欧、WEY P8s/P8、长城C30EV、E70、电动咖啡EV10、云π1/π3、全新宝马5系、北斗X5E、宝骏E100、新奔奔EV等。新能源商用车包括东风汽车、苏州金龙、中通客车、上汽商用车、神龙客车,中车时代、厦门金旅、蜀驰客车、北汽福田、厦门金龙、成都大运会、昌河汽车、奇瑞汽车、宇通客车。具体型号为中通6808、大通EV80、大通FCV80、东风海豚、大运E3、北斗X5E和凯瑞卓越。

12月25日,《上海市新能源汽车备案信息表(2017年12月)》发布。12月,新增23辆新能源乘用车和25辆新能源商用车。更新后的备案信息包括88辆新能源乘用车和57辆新能源商用车。新能源乘用车,包括荣威Ei5、东风骏风E17、华汽、北汽莱特、红旗H7PHEV、新蒙迪欧、WEY P8s/P8、长城C30EV、E70、电动咖啡EV10、云π1/π3、全新宝马5系、北斗X5E、宝骏E100、新奔奔EV等。新能源商用车包括东风汽车、苏州金龙、中通客车、上汽商用车、神龙客车,中车时代、厦门金旅、蜀驰客车、北汽福田、厦门金龙、成都大运会、昌河汽车、奇瑞汽车、宇通客车。具体型号为中通6808、大通EV80、大通FCV80、东风海豚、大运E3、北斗X5E和凯瑞卓越。


如果一支从未涉猎过汽车行业的团队想要从零开始打造一辆汽车,麦格纳斯太尔是他绕不过的一站。
1900/1/1 0:00:00经过三次方案修改后,金杯电工002533非公开发行股票申请最终于12月21日获得中国证监会核准批复。这意味着公司在夯实原有电缆业务基础上,将加快向新能源产业和现代服务业转型升级的步伐。
1900/1/1 0:00:00今年以来,一些国家和主要汽车企业纷纷发布停售燃油汽车时间表,新能源汽车成为未来发展的主要趋势。
1900/1/1 0:00:00近日,《北京市加快科技创新培育新能源智能汽车产业的指导意见》发布,指导意见明确把技术创新放在突出位置,以动力电池、驱动电机、燃料电池等关键零部件,以及智能网联技术研发为主攻方向,
1900/1/1 0:00:00日前,有海外媒体报道,丰田将推出一款全新的混合动力跑车,该车将基于2017东京车展亮相的丰田GRHVSPORTS概念车进行打造,动力方面将配备THSR混合动力系统。
1900/1/1 0:00:00最近,新造车运动好生热闹阿里巴巴战略投资小鹏汽车;威马汽车完成了由百度资本领投、百度集团等跟投的新一轮融资;
1900/1/1 0:00:00